环球过滤分离技术网(http://guolvfenlitech.com)是中国过滤.分离.净化.纯化、超洁净技术行业领先的前沿科技、产品和技术信息供求,技术解决方案,技术交流分享以及过滤、分离、纯化、超洁净产品和技术供需服务平台。

标题: 《过滤器完整性测试仪》标准 [打印本页]

作者: guolvfenlitech9    时间: 2022-9-20 06:51
标题: 《过滤器完整性测试仪》标准
本帖最后由 guolvfenlitech9 于 2022-9-20 06:55 编辑



[attach]6941[/attach]



2022-09-20   环球过滤分离技术网   guolvfenlitech9

近日,中国制药装备行业协会发布了《过滤器完整性自动测试仪》标准(草案):[attach]6939[/attach]该文件规定了过滤器完整性测试仪的标记、要求、试验方法、检验规则,以及标志、使用说明书、包装、运输和贮存。适用于滤芯过滤器、滤膜过滤器完整性测试仪。要求过滤器完整性测试仪满足以下标准:


内容如下:


过滤器完整性测试仪


1    范围 本标准规定了过滤器完整性测试仪的标记、要求、试验方法、检验规则,以及标志、使用说明书、包装、运输和贮存。本标准适用于滤芯过滤器、滤膜过滤器完整性测试仪(以下简称测试仪)。
2   规范性引用文件 下列文件对于本文件的应用是必不可少的。凡是注日期的引用文件,仅注日期的版本适用于本文件。凡是不注日期的引用文件,其最新版本(包括所有的修改单)适用于本文件。GB/T 191  包装储运图示标志GB/T 9969  工业产品使用说明书总则GB/T 36035.1-2018  制药机械 电气安全通用要求GB/T 5226.1-2008  机械电气安全 机械电气设备 第1部分:通用技术条件GB/T 6388  运输包装收发货标志GB/T 10111  随机数的产生及其在产品质量抽样检验中的应用程序GB/T 13306  标牌GB/T 13384 机电产品包装通用技术条件GB/T 14710-2009 医用电气环境要求及试验方法GB/T16769  金属切削机床  噪声声压级测量方法GB/T 24342-2009  工业机械电气设备保护接地连续性试验规范
3   标记3.1  型号编制
3.2  标记示例JF8000:表示压力适用量程为8000mbar的过滤器完整性测试仪。
4   要求
4.1  材料测试仪的零件材料应无毒、耐腐蚀、耐高温、不脱落、不易滋生细菌、不易染菌。
4.2  外观外观要求:
4.3  性能4.3.1 示值误差测试仪的测量示值最大允许相对误差为:4.3.2 数据重复性测试仪的前进流、水侵入、泡点测量重复性应优于3%4.4  环境适用性要求测试仪的环境适用性应符合GB/T14710中气候环境I组的规定。4.5  电气安全4.5.1电气系统的保护联结电路的连续性应符合GB5226.1-2008中8.2.3的规定。4.5.2电气系统的绝缘电阻应符合GB5226.1-2008中18.3的规定。4.5.3电气系统的耐压应符合GB5226.1-2008中18.4的规定。4.5.4电气系统的按钮应符合GB36035-2018中8.3的规定。4.5.5电气系统的指示灯应符合GB36035-2018中8.4的规定。4.5.6电气系统的配线应符合GB36035-2018中11.1、11.2和11.3的规定。4.5.7电气系统的标记、警告标志和参照代号应符合GB5226.1-2008中第16章的规定。5   试验方法
5.1  材料试验查验材料质量证明书。
5.2  外观试验目测查验。
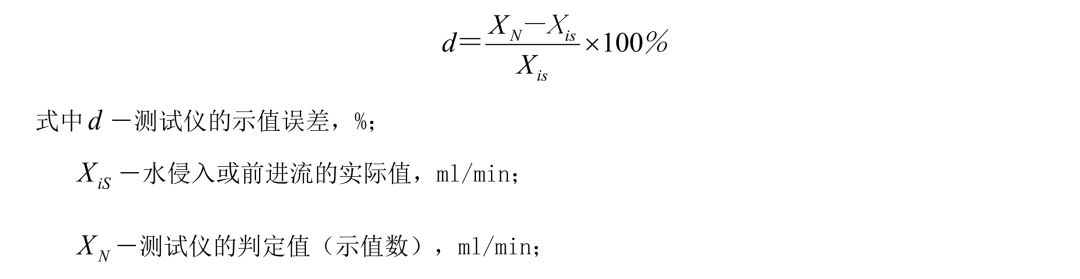
5.3  性能试验5.3.1 试验条件试验条件如下:a)试验环境:工作环境温度 (5~50)℃,相对湿度≤85%,非冷凝;交流电供电电压为AC (100~240) AC V,交流电供电频率为50/60Hz。b)侵润液体:水-应采用纯度尽量高的纯净水,水中不得有小颗粒等不溶物体,以免堵塞滤芯。异丙醇-由于滤芯材质的多样性,针对纯净水无法侵润的滤芯,则可采用异丙醇进行侵润。5.3.2  示值误差5.3.2.1 水侵入或前进流等非泡点测试的示值误差连测试仪后,在测试仪测试口接上毛细管,开始水侵入或前进流测试,在不同的测试压力下(如2000mbar、2500mbar、3000mbar)完成三次测试,并收集测试过程中排出的气体或者液体,计算出水侵入或前进流的实际值,用实际值与测试仪的测试值进行对比。示值误差计算公式如下:

5.3.2.2 泡点的示值误差连测试仪后,在去除滤芯的过滤器一端接入精准数显压力表,开始泡点测试,在不同的测试压力下(如1600mbar、4000mbar、6400mbar)完成三次测试。记录测试仪的测试值和精准数显压力表的显示值,对比精准数显压力表的显示值与测试仪的测试值,并计算出精准数显压力表显示值与测试仪测试值之间的差值。示值误差计算公式如下:

5.3.3 重复性误差重复性可与示值误差检验同时进行。水侵入或前进流等非泡点测试可按5.3.2.1方法,用2000mbar压力进行水侵入或前进流测试,测得结果后,继续重复6次测试,记录测试仪的检测示值。并按下式计算其相对标准偏差作为水侵入或前进流检测的重复性。

泡点测试可按5.3.2.2方法,用4000mbar压力进行泡点测试,测得结果后,继续重复6次测试,记录测试仪的检测示值。并按下式计算其相对标准偏差作为泡点检测的重复性。

5.4  环境适用性试验测试仪在试验场所放置24h后,按GB/T14710中规定进行测试,试验要求和检测项目见表1。表1试验验要求和检测项目
试验项目
试验要求
检测项目
额定工作低温试验
持续时间h
恢复时间h
通电状态
试验条件
初始检测
最后检测
电源电压V
额定值-10%
额定值+10%
额定工作低温试验
4
--
试验时通电
5℃
4.3.14.3.2
4.3.14.3.2
--
低温贮存试验
4
4
试验后通电
-10℃
220
额定工作高温试验
4
--
试验时通电
50℃
--
高温贮存试验
4
4
试验后通电
60℃
220
5.5  电气系统试验5.5.1电气系统的保护联结电路的连续性、绝缘电阻、耐压试验分别按GB5226.1-2008中18.2和GB/T24342-2009中6.2及GB5226.1-2008中18.3、18.4的规定进行。5.5.2电气系统的按钮、指示灯、配线、标记、警告标志和参照代号分别按GB36035-2018中8.3、8.4、11.1、11.2、11.3和GB5226.1-2008中第16章的规定进行。
6    检验规则 产品的检验分出厂检验和型式检验。
6.1  出厂检验6.1.1每台产品须经制造单位检验部门按表2的规定逐台进行检验,合格后方能出厂,并附有产品合格证书。表2出厂检验项目
序号
检验项目
要求
试验方法
1
材料
4.1
5.1
2
外观
4.2
5.2
3
性能
4.3
5.3
4
环境适用
4.4
5.4
5
电器安全
4.5
5.5
6.1.2每台产品在检验过程中如发现不合格项时,允许退回修整并进行复检,若复检仍不合格则判定为不合格品。
6.2  型式检验6.2.1 检验条件有下列情况之一,要进行型式检验:a)新产品或老产品转厂生产的试制定型鉴定;b)正式生产后,如结构、材料、工艺有较大改变可能影响产品性能时;c)停产1年后恢复生产时;d)出厂检验结果与上次型式检验有较大差异时;e)国家质量监督机构提出型式检验要求时。6.2.2 检验内容型式检验应包括本标准所规定的全部检验项目,型式的样品应从出厂检验合格的样品中随机抽取。6.2.3 抽样规则型式检验的样机从出厂检验合格的产品中按GB/T10111抽取10%作为样机,至少3台,检测1台。6.2.4判定规则检验判定规则:a)出厂检验要逐台检验,外观出现不合格项,允许复检,复检不合格则判为不合格;性能要求出现不合格项,经返工调试后,再次提交检验,复检不合格则判为不合格。b)型式检验的样品符合全部要求,则判型式检验合格。如有一项目不符合,允许做一次复检。c)在检验过程中,供需双方对产品质量有异议时,由法定检验部门检验、由仲裁机构进行仲裁。7   标志、使用说明书、包装、运输和贮存 7.1  标志7.1.1每台分析仪标牌固定在机器明显部位,标牌的尺寸及技术要求按GB/T 13306的规定。在明显位置上应有下列标志:7.1.2包装箱外的标志按GB/T 191的规定。包装箱外有下列标志:
7.1.3 合格证上有下列标志:在合格证上应有下列标志:7.1.4运输收发货标志按GB/T 6388的规定。
7.2  产品使用说明书按GB/T9969规定。
7.3  包装7.3.1产品的包装按GB/T13384的规定。包装箱内附有下列文件:
7.4  运输产品的运输按国家铁路、公路和水路货物运输的有关规定。运输过程中,其应固牢在运输工具上,严禁翻滚、碰撞和挤压。
7.5  储存产品包装后,储存在干燥、通风、无腐蚀性气氛的室内或有遮蔽的场所,不得露天存放来源于:网络,侵权告删 www.guolnlitech.com






欢迎光临 环球过滤分离技术网(http://guolvfenlitech.com)是中国过滤.分离.净化.纯化、超洁净技术行业领先的前沿科技、产品和技术信息供求,技术解决方案,技术交流分享以及过滤、分离、纯化、超洁净产品和技术供需服务平台。 (http://www.guolvfenlitech.com/) Powered by Discuz! X3.3